一种判断真有效值电流变送器真伪的简单方法
关键字: 真有效值电流传感器 真有效值
本文介绍了一种简单实用的真有效值电流测量工具的验证方法,具有简单实用的特点,可以在工具使用前进行技术验证,避免选择错误,造成工程选型错误。
引言:
我们经常在市场上看到各种标注着TRMS 的电流电压测量产品,如各种钳形表,数字万用表,以及各种标称是真有效值的电流电压变送器等。 但有很多这样的产品都是徒有虚名,要么使用限制性很大,不能对各种信号都进行真有效值采集测量,要么本身就是虚假宣传。
1. 真有效值的含义及原理:
真有效值的含义是True-RMS,即真实方均根值,对于电流信号,其表达式如下:
我们可以很容易得到正弦波的电流,比如工频市电。我们可以利用给热水器加热的电流进行测量,鉴定TRMS电流传感器或者TRMS仪表的真伪。
2.真有效值产品的鉴别方法。
正常情况下,市电工频(阻性负载,如热水器等)的波形如下:
(图1,正弦波全波情况)
假定此时用传感器或者各种钳形表或万用表测量出的数据为I。
在电流回路中串接一个二极管进行半波整流,此时波形如下:
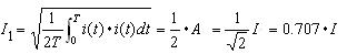
假定此时用传感器或者各种钳形表或万用表测量出的数据为I,半波的有效值电流是I1,则 I1=0.707I 。计算方法如下:
所以,用户可以通过测全波电流和半波电流,并检查两种电流大小的差异来判断测量工具的功能或准确性。如果半波电流读数是全波电流读数的0.707倍,那么就证明这个测量工具具有真正的有效值测量功能即TRMS功能,如果读数并不反映这种关系,那么就说明该设备不具备TRMS功能。
3. 实例:
下图是同一个电流回路中串接了3种测量工具,从左到右分别是 FLUKE 17B(单匝测量),FLUKE 319(10匝测量) ,柏艾斯HTIC-C21真有效值传感器(10匝测量)。
(图4,全波状态下的电流测量值,相差不大)
全波电流情况下,电流传感器测量读数为26.38A,计算过程为:(8.22-4)/16 * 100=26.38 ,与两个福禄克表的测量值读数相差不大。
( 图5,半波状态下的测量值,相差极大,福禄克钳表显示不正确)
在回路中串接二极管,半波整流后,电流传感器测量读数为18.69A,计算过程如下:(6.99-4)/16 * 100=18.69 ,与两个福禄克表的读数相差甚远!
经过上述的理论我们可以清楚的知道,半波电流有效值为全波电流有效值的0.707倍。我们验算一下传感器两次测量读数之间的关系,半波情况下,HTIC-C21电流传感器输出理论值应该26.38 * 0.707=18.65A ,实测为18.69A,误差仅仅0.04A,接近理想状态! 而此时所谓的TRMS真有效值钳形表FLUKE 319输出值与理论值相差高达4.59A,相对误差高达(18.933-14.34)/18.933 = 24.26% 。
以上实验是在纯阻性负载的情况下进行的实验,波形为理想的正弦波,经过二极管半波整流后,输出波形也比较规范。如下图:
(图6,纯阻性负载下,用单个二极管进行半波整流后的波形)
4. 结论:
1. 真有效值测量工具的有效性可以通过简单实验加以证明。
2.购买真有效值传感器或者钳形表时,请与供应商详细沟通,看是否真正意义上的全波形真有效值测量。
3. 柏艾斯的HTIC-C21系列真有效值电流变送器是经得住考验的。
4. 因基于霍尔原理的HTIC-C21系列真有效值电流变送器可以测量任意波形,故使用范围较广。
5. 高级仪表给出错误读数,可能会误导工程设计,如电缆选择,开关容量计算等,用户需要高度警惕。
上一篇:交流电流变送器JIB-C15在水处理行业中对于水泵的监测应用 下一篇:闭环电流传感器在UPS上的应用
- 2022-10-21专用的蓄电池监控电流传感器
- 2020-03-19变频器负载如何做电流过载保护?
- 2020-02-10磁通门高压电压传感器FV家族又添新成员
- 2019-12-31柏艾斯科技推出非接触式交流测量微安表(AC uA-Meter)
- 2019-10-24柏艾斯科技推出基于罗氏线圈技术的真有效值电流变送器
- 2019-09-06磁通门电流传感器在直流电源系统有源逆变电网回馈装置中的应用
责任编辑:柏艾斯编辑部
版权所有:http://www.passiontek.com.cn 转载请注明出处
本文标签:电流变送器选型 电流变送器型号 电压传感器原理
热点聚焦
24小时定制电话:010-89494921






