可信赖的电量隔离测量方案供应商24小时定制电话:010-89494921

首页 行业新闻

大容量动力型超级电容器存储性能

2021-02-05 08:39:55 

摘 要: 超级电容器的电荷存储能力受多个因素的影响。以商品化的大容量动力型超级电容器为研究对象,从充电电流、充电电压、恒压时间、存储温度和电解液体系5个方面对超级电容器单体的电压保持能力进行系统研究。结果表明,较低的充电电流、充电电压和环境温度以及较长的恒压时间有利于电荷储存,单体电压保持能力较好。此外,当使用的电解质盐相同时(四氟硼酸四乙基铵,TEA-BF4),碳酸丙烯酯(PC)溶剂基电解液体系的电压保持能力较好;而当使用的溶剂相同时(PC基体系电解液时),相同浓度的TEA-BF4电解液电压保持能力比四氟硼酸螺环季铵盐(SBP-BF4)电解液好。


关键词: 超级电容器;存储性能;自放电;电压保持能力;电压;温度


现代社会对可再生能源的需求使得储能装置在能源有效利用的过程中起到了重要作用。近年来,超级电容器(SC)由于其高功率密度和长循环寿命而被广泛应用于各个领域,如储能式有轨电车、混合动力汽车、港口机械等。然而,其应用仍然有限,原因之一便是受制于其固有的快速自放电。超级电容器的自放电是在未连接到电源的情况下会逐渐出现电压下降和能量损失的现象。要解决或减轻自放电问题是一项具有挑战性的任务,因为自放电的机制是多样的且尚未被完全理解。目前科研人员研究了各种超级电容器模型下的自放电现象,但是针对商业化大容量动力型超级电容器单体的自放电研究十分匮乏。本文通过改变充电电流、恒压时间、充电电压、环境温度和电解液体系等5个因素,探究各个因素对超级电容器单体电压保持能力的影响,考察了1~150 d的超级电容器电压保持能力,从而找到更好的充电方法,旨在改善商业化单体的自放电现象。


1 实 验


选取商品化产品2.7 V/9500 F动力型超级电容器单体作为研究对象。采用超级电容器测试仪PNE对电容器进行充放电测试。标准测试过程为200 A恒流充电至截止电压2.7 V,恒压0.5 h,然后在25 ℃恒温条件下静置,用欧姆表测试单体两端电压测试电压保持能力。考察超级电容单体不同充电电流的电荷储能能力,设计充电电流为300、250、200、150、100、50、20、10、5、2、1 A。考察单体不同充电时间的电荷储能能力,设计充电恒压时间为0.5、1、3、6、10 h。考察单体不同电压下的电荷储能能力,设计充电截止电压为2.0、2.3、2.5、2.7、2.85 V。考察单体在不同温度下的电荷储能能力,将其置于环境温度箱,设计温度为25、45、55、65 ℃。考察单体在不同电解液体系的电荷储能能力,设计不同电解液(TEA-BF4/AN、TEA-BF4/PC和SBP-BF4/PC)。


2 结果与讨论


2.1?充电电流对电压保持能力的影响


表1是充电电流为300 A和1 A,不同电压单体的自放电(SD,24 h)。从表中可以看出,充电电流为300 A时,充电截止电压为2.0、2.3、2.5、2.7和2.85 V的单体的SD依次为298.7、319.7、391.0、473.4和575.1 mV;充电电流为1 A时,单体的SD依次为41.6、51.2、62.7、93.4和118.3 mV。图1为不同充电电流不同电压SD(24 h)测试,可以看出,在充电电流比较高的情况下(≥100 A),电容器单体的SD随充电电流的降低减小得较多。在充电电流比较低的情况下(<100 A),电容器单体的SD随充电电流的降低减小得较少,都保持在比较低的数值。这是由于充电电流较高时,电解质离子不能充分进入到电极炭材料内部和较窄的孔隙中,充电电流较低时,电解质离子可以充分进入电极炭材料微孔中,SD较小。单体的SD随充电电流的减小而减少,电压保持能力随充电电流的减小而增加。


表1 充电电流为300 A和1 A,不同电压单体的SD(24 h)


1

2

图1 不同充电电流不同电压SD(24 h)测试(充电电流由300~1 A,测试温度25 ℃)




2.2 恒压时间对电压保持能力的影响


3

图2为不同恒压充电时间单体24 h SD测试曲线。



从图中可以看出,恒压充电时间越长,单体SD越小,当恒压充电时间为0.5 h,单体SD为194.7 mV,当恒压充电时间为10 h,单体SD为85.2 mV。这主要是由于恒压时间长,电解质离子能充分进入活性炭内部和较窄的孔隙中。去掉外加电源后,这部分电解质离子回到电解液中的较少。若不考虑电力损耗因素,可通过提高单体恒压充电时间以降低单体的SD。


图2 不同恒压充电时间单体SD(24 h)测试(充电电流200 A, 充电截止电压为2.7 V,测试温度为25 ℃)


2.3 充电电压对电压保持能力的影响



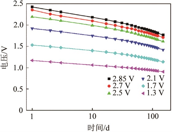
图3为不同充电电压下单体开路电压测试曲线(25 ℃)。从图中可以看出,在不同充电电压下的单体端电压均随静置时间的对数而线性减少,也就是说,单体自放电过程中的电压衰减可以用指数数学模型计算。如表2所示不同充电电压下单体开路电压测试数据可以看出,静置1 d,充电截止电压为2.85 V、2.7 V、2.5 V、2.1 V、1.7 V和1.3 V的单体端电压依次为2.42 V、2.35 V、2.19 V、1.81 V、1.53 V和1.17 V;静置150 d,单体端电压依次为1.76 V、1.71 V、1.61 V、1.42 V、1.13 V和0.90 V。相同静置时间,初始充电截止电压越高,单体的端电压越高,其中充电电压为2.85 V的单体端电压最高。主要是由于充电电压高,单体充满电状态需要吸附更多的电解质离子,在电极/电解液界面累积更多的电解质离子。当去掉外部电源时,没有电场的束缚,从电极表面脱附的电解质离子数目越多,电压降低得越多,电压保持能力越低。目前商业化超级电容产品的SD在2.7 V测定。因此,可通过适当降低单体充电截止电压提高单体电压的保持能力。


4

图3 不同电压下单体静置电压保持能力测试(25 ℃,充电电流200 A)


表2 不同充电电压下单体开路电压测试数据


5

2.4 温度对电压保持能力的影响


图4为不同温度下单体静置电压保持能力测试曲线。从图可以看出在不同的温度下静置的单体的端电压和电压保持率随静置时间的对数而线性减少。表3为不同温度下单体静置开路电压测试数据,65、55、45和25 ℃温度下的单体静置1 d端电压依次为1.87、2.03、2.11和2.42 V,电压保持率依次为65.9%、71.2%、73.8%和85.0%;静置150 d,单体端电压依次为0.90、1.10、1.30和1.76 V,电压保持率依次为31.6%、38.5%、45.5%和61.9%。相同的静置时间,环境温度越高,单体的端电压越低,电压保持能力越低,单体的自放电越快。这主要是与环境温度有关,温度越高电荷运动能力越强,使得单体电荷保持能力越低。同时温度越高,越容易发生氧化还原反应,引起漏电流增大。随着静置时间增加,单体端电压减少变慢,趋于稳定。


6

图4 不同温度下单体静置电压保持能力测试(充电电流200 A,充电截止电压2.85 V,恒压0.5 h)


表3 不同温度下单体静置开路电压测试数据


7

2.5 电解液体系对电压保持能力的影响


图5为不同电解液体系单体静置电压保持能力测试曲线。从图可以看出,在不同的电解液体系中单体的端电压随静置时间的对数而线性减少。当单体使用电解液为相同电解质盐而溶剂不同(即TEA-BF4/AN和TEA-BF4/PC)时,单体的端电压随静置时间减少的线性直线的斜率近似相同,在相同的静置时间,使用TEA-BF4/PC电解液单体的端电压较高,这主要与电解液的电导率相关。而使用相同溶剂和不同电解质盐组成的电解液(即SBP-BF4/PC和TEA-BF4/PC)时,单体的端电压随静置时间减少的线性直线的斜率相差较大,这主要是由于不同电解质盐在相同溶剂中的活度不同。


8

图5 不同电解液体系单体静置电压保持能力测试曲线(充电电流200 A,充电截止电压为2.7 V,恒压0.5 h,测试温度为25 ℃)


3 结 论

超级电容器单体的SD随充电电流的降低而减小,当充电电流降至100 A以下时,该减小趋势变缓。单体的SD随着恒压充电时间的增加而减小。单体端电压均随静置时间的对数而线性减少,相同静置时间,初始充电截止电压越高,单体的端电压越高,其中充电电压为2.85 V的单体端电压最高。在相同的静置时间,温度越高,单体的自放电越快,电压保持能力越低。此外,使用相同电解质盐的电解液中,基于PC电解液体系单体的SD比基于AN体系更小;而使用相同溶剂的电解液,基于TEA-BF4/PC电解液单体的SD比SBP-BF4/PC的更小。


引用本文: 陈雪龙,张希,许传华等.大容量动力型超级电容器存储性能[J].储能科学与技术,


北京柏艾斯科技是专业的电流电压传感器厂家,掌握霍尔磁通门等多种技术原理,为众多国内外用户提供OEM和ODM服务,更多产品应用请登录公司网站了解更多,www.passiontek.com.cn.

网友热评